VISCOUS LOSS


15   Non-optimized viscous loss

15.1   Viscous loss in the rotationally optimal propeller

For the rotationally optimal propeller, the momentum loss (10.10) is constant along the blade due to the cos2φ loading distribution from (10.8).

  The viscous loss however varies along the blade. Unlike the momentum loss, the local loss ratio (15.21) is independent of the load, but instead it varies with the radius.

  The combined local loss ratio (10.8) plus (15.21) for the rotationally optimal propeller is :

d  P m  ′ d  T  ′ + d  P v  ′ d  T  ′ = ½ . T  ′ κ φ + ε . x cos 2 φ (15.1)

Figure 15.1 shows the graph. It is the same as figure 15.4, but shifted up by the constant momentum loss.

  Clearly, the combined local loss ratio is not constant along the blade. Neither is the marginal loss, as we shall see later. The rotationally optimized propeller is not globally optimal in the presence of viscous loss.

  We will optimize it in the next chapter.

Viscous loss diagram

Figure 15.1 :   Local combined loss ratio (15.1), rotationally optimal thrust.

15.2   Integrating the viscous loss ( rotationally optimal distribution )

We wish to find an average viscous loss over the propeller. The average will depend on the thrust distribution, because the local viscous loss ratio depends on the radius. We need to make a choice, and we will use the rotationally optimized propeller as a baseline. We noted above that this is not the optimal choice, but will use it because it is common in the literature, and it gives a simple result which can be used as a baseline later.

  Loss ratios and efficiencies cannot be integrated over the propeller disk. As a counter-example, it will not help if half the disk area has a perfect zero percent loss ratio, if all the thrust is on the non-perfect half.

  We will have to integrate the local loss itself, not the ratio. From (15.21) we have :

d  P v  ′ = d  T  ′ . < ε . x cos 2 φ (15.2)

For lightly loaded propellers without tip loss, dT ′ follows from (10.9) :

d  P v  ′ = < ε . x cos 2 φ . T  ′  . cos 2 φ κ φ . x . 2 x . d x X 2 (15.3)

The viscous loss (15.21) contains a term of 1 / cos2φ which increases the loss of the linear term ε . x. The two cos2φ terms happen to cancel, effectively replacing the local 1 / cos2φ loss term by the overall 1 / κφ term :

d  P v  ′ = < ε . T  ′ κ φ . x . 2 x . d x X 2 (15.4)

The integral is then simply that of ε . x times the mass factor :

P v  ′ = < ε . T  ′ κ φ . 1 X 2  . 0 X 2  x 2 . d  x (15.5)

The primitive of 2 x2 is ⅔ x3.

Dividing by T ′, the overall viscous loss ratio for the rotationally optimal propeller is :

P v  ′ T  ′ = 1 κ φ . ε . (  ⅔  X  ) (15.6)

Here the ⅔ X is put in brackets to make a point. It is like an effective, average value of x for the local ε . x in (15.2). Viewed in this way, the 1/κϕ term in (15.6) also represents an average, for the 1 / cos2φ factor.

Since 1 / cos2φ at an “average radius” of 0.7*hairsp;R is very similar to 1 / κφ, comparing (15.6) to (15.2) supports the classical rule of thumb that the overall viscous efficiency of a propeller can be well approximated by the local viscous efficiency at the radius 0.7 R.

  Figure 15.2 shows (15.6) against the tip speed ratio X , using ε = 0.02 as an example for the blade section Cd / Cl. The shape is similar to the plot against the local speed ratio in figure 15.4, but this time the minimum occurs near X = 1.35 instead of at x = 1, and the asymptote is ⅔ ε X instead of ε X.

Viscous loss diagram

Figure 15.2 :   The overall viscous loss ratio (15.6) in the rotationally optimal propeller

15.3   The overall loss ( rotationally optimal distribution )

We can now sum the overall ( averaged ) values of the momentum and the viscous losses (10.10) and (15.6), like we did before for the local losses in (15.1). Note that these are values for the rotationally optimal propeller, for light loading, before tip loss, and before viscous optimization :

P  ′ m+v T  ′ P m  ′ T  ′ + P v  ′ T  ′ = ½ . T  ′ κ φ + ⅔  ε  .  X κ φ (15.7)

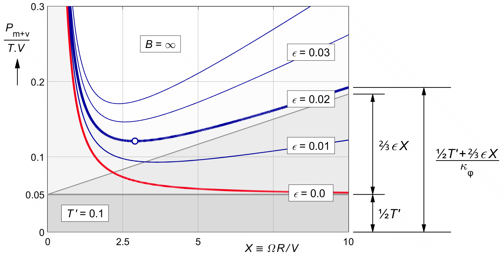
  Figure 15.3 shows the result. The basis is a constant loss due to the optimized momentum loss, and a straight slope due to the non-optimized viscous loss. The viscous loss term gives a steady rise of the combined loss ratio with increasing tip speed ratio X.

  The factor 1 ⁄ κφ(X) which restores the design thrust after the rotational optimization, adds a sharply curved sweep-up for the lower X values to the straight slope.

Viscous loss diagram

Figure 15.3 :   Overall combined loss ratio (15.7), for rotationally optimal thrust.

15.4   The optimal tip speed ratio ( rotationally optimal, before tip loss )

The loss increase at both ends of the X range means that there is a minimum halfway. The location of the optimum depends on the balance T ′ / ε between the momentum and viscous losses.

  This balance will not change if we scale up both T ′ and ε by the same factor. The whole graph will just be inflated by that factor. But if we change either T ′ or ε separately, the curve will change. The figure shows the effect of varying ε for a given T ′. The circle marker indi­cat­es this minimum for our standard example of T ′ = 0.1, ε = 0.02. The optimum falls near X = 2.9.

  For large ε, the optimum shifts to the purely viscous optimum of figure 15.2, at X = 1.35. For very low ε, the optimum shifts to very high X, where the momentum loss gets ever smaller. A typical intermediate value for our standard example T ′ = 0.1, ε = 0.02 is X = 2.9, as seen in the figure.

  These are optimum tip speed ratios before tip loss, and so they apply only in a duct. Equation (27.5) will later add the tip loss. This will shift the optimum for the tip speed ratio X to higher values.